网站首页
关于我们
公司简介
资质证书
产品中心
厂用风机
矿用风机
消防风机
离心风机
隧道风机
屋顶风机
船用风机
消防应急照明和疏散指示系统
防爆免维护(三防)LED灯具系列
厂用防爆灯具系列
防爆电器系列
防爆防腐电器系列
防爆风机、管件系列
产品应用
新闻资讯
公司新闻
行业动态
资料下载
联系我们
首页
关于我们
公司简介
资质证书
产品中心
厂用风机
矿用风机
消防风机
离心风机
隧道风机
屋顶风机
船用风机
消防应急照明和疏散指示系统
防爆免维护(三防)LED灯具系列
厂用防爆灯具系列
防爆电器系列
防爆防腐电器系列
防爆风机、管件系列
新闻资讯
公司新闻
行业动态
产品应用
资料下载
联系我们
产品中心
PRODUCT
产品中心
首页
-
产品中心
-
消防风机
-
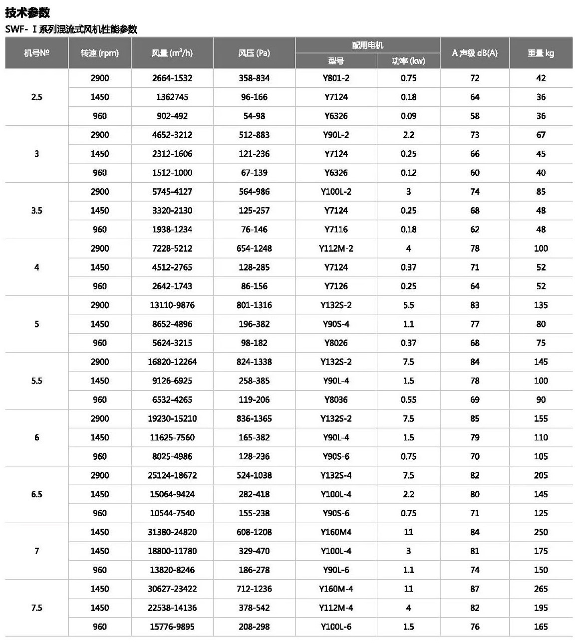
SWF系列低噪声混流风机
SWF系列低噪声混流风机
如果您有任何问题可以联系我们!
联系我们
电话:15167777309
扫一扫,加我为朋友
详细信息
详细信息
SJG(FSJG)钢制,玻璃钢管道斜流风机
HL3-2A、PYHL-14A系列混流式高温排烟风机
返回
相关产品
HTF系列高温消防排烟专用风机
HTFC(YT)低噪声柜式离心风机
SJG(FSJG)钢制,玻璃钢管道斜流风机
SWF系列低噪声混流风机
HL3-2A、PYHL-14A系列混流式高温排烟风机
HLF-6低噪声节能混流式风机箱
联系我们
浙江乐清市柳市方斗岩工业区
15167777309
首页
/
关于我们
/
新闻资讯
/
产品中心
/
产品应用
/
资料下载
/
联系我们
© 新黎明风机(温州)有限公司
浙ICP备2024077093号
XML
网站地图
网站制作维护:
传信网络
微信
咨询
扫一扫,加我为朋友
服务
热线
15167777309
服务热线